Pyomo Expressions

Warning

This documentation does not explicitly reference objects in pyomo.core.kernel. While the Pyomo5 expression system works with pyomo.core.kernel objects, the documentation of these documents was not sufficient to appropriately describe the use of kernel objects in expressions.

Pyomo supports the declaration of symbolic expressions that represent objectives, constraints and other optimization modeling components. Pyomo expressions are represented in an expression tree, where the leaves are operands, such as constants or variables, and the internal nodes contain operators. Pyomo relies on so-called magic methods to automate the construction of symbolic expressions. For example, consider an expression e declared as follows:

M = pyo.ConcreteModel()
M.v = pyo.Var()

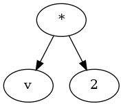
e = M.v * 2

Python determines that the magic method __mul__ is called on the M.v object, with the argument 2. This method returns a Pyomo expression object ProductExpression that has arguments M.v and 2. This represents the following symbolic expression tree:

digraph foo {
    "*" -> "v";
    "*" -> "2";
}

Note

End-users will not likely need to know details related to how symbolic expressions are generated and managed in Pyomo. Thus, most of the following documentation of expressions in Pyomo is most useful for Pyomo developers. However, the discussion of runtime performance in the first section will help end-users write large-scale models.